11PlusSpecialist
Dame Alice Owen's School: 11+ English
Dame Alice Owen's School: 11+ English
Couldn't load pickup availability
This is a past 11+ English paper or a sample 11+ English paper from this school. It will be delivered as a PDF that you can download immediately after checkout.
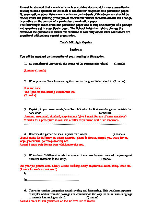
Product name: DameAliceOwensSchool-11+English-Sample-MarkingScheme.pdf
Dame Alice Owen's School: 11+ English
This 11+ test will be delivered as a downloadable PDF.
Digital Delivery
Digital Delivery
This product will be delivered digitally. After checkout you will receive an immediate download link. Each product can be downloaded up to five times.



-
Immediate delivery
You will be able to download this product immediately as a PDF.
-
Preparing for 11 Plus?
If you are preparing your child for an upcoming 11+ exam, you may want to consider our bulk products. Buy 10, 25, 50 or 100 past papers at hugely discounted rates.